Atomic and Molecular Physics Homework 2
Chasse_neige
Question 1
a) A two-level quantum state can be represented by
Show that the density matrix
While the density matrix can also be represented as
So the density matrix can be written as
b) A two-level system coupled by a radiation of frequency
in the Schrödinger picture and under the rotating-wave approximation. Show that a state represented by Bloch vector
where
Write the Hamiltonian in terms of the Pauli Matrices
So the Hamiltonian can be represented as
Calculate the evolvement of the density matrix
Under the Schrödinger picture, the Pauli Matrices vector is an invariant, so the time derivative of the density matrix is
Compare the last two representations of
c) Going to the rotating frame
Under the rotating frame basis
So the new Hamiltonian can be represented as
Therefore
Transfer the Hamiltonian in terms of the Pauli Matrices
where
Because the identity matrix produces nothing in the commutator, so we can just use
in the calculation of the evolvement of the density matrix. Similarly, a state represented by Bloch vector
Question 2
a) Calculate relative transition strengths of the
First, try to represent the state
So the relative electric dipole transition strength between the two states can be represented as
Similarly, also expand the
So the relative electric dipole transition strength between the two states can be represented as
The relative transition strength
Explain why and for electric dipole transition.
From the expanding of Clebsch-Gordan Coefficients we can see that when the electric dipole transition strength is non-zero, those part of the spin (electrons and nucleus) should stay the same before and after the transition. So the difference between the good quantum numbers, take
Can spin-orbit coupling and hyperfine interaction alter the selection rules for , i.e. ?
No, they can't. Spin-orbit coupling and hyperfine interaction (nucleus-electron coupling) will add an extra
or
But the electric dipole operator acts only on the orbital part of the wavefunction and does not depend on spin or nuclear spin. Thus, the matrix element
b) Using the Rb87
Suppose that the spontaneous-emission transition rate between any two-states is proportional to the square of their dipole-matrix element. So for the
So the total transition rate is proportional to
For the
So the total transition rate is proportional to
For the
So the total transition rate is proportional to
Above showed that the radiative lifetime of



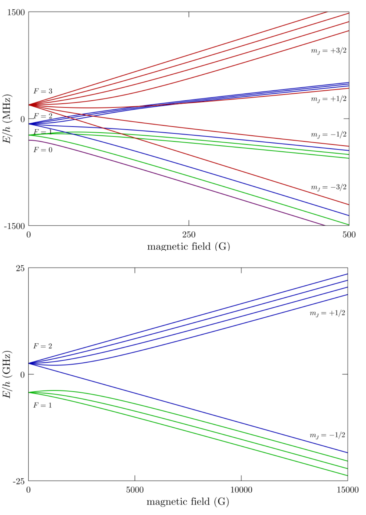
Question 3
The graphs on the right show the Zeeman shift of the
a) Considering the
Transitions within the
(but is forbidden). .
So all magnetic transitions between the
b) An experimenter prepares a quantum state in the
Because the experimenter want to have transitions within the
Under high magnetic field like 10000G, the hyperfine structure of the
The state
under high magnetic field. So we can design sequence of transitions to all states as follows:
1.From initial
- Type: Electron spin flip (
, ) - Polarization:
- This transition directly populates
.
2.From initial
- Type: Nuclear spin flip (
, ) - Polarization:
- This transition directly populates
.
3.From initial
- Type: Nuclear spin flip (
, ) - Polarization:
- This transition directly populates
.
4.From
- Type: Nuclear spin flip (
, ) - Polarization:
- This transition populates
from the state reached in step 3.
5.From
- Type: Nuclear spin flip (
, ) - Polarization:
- This transition populates
from the state reached in step 1.
6.From
- Type: Nuclear spin flip (
, ) - Polarization:
- This transition populates
from the state reached in step 1.
7.From
- Type: Nuclear spin flip (
, ) - Polarization:
- This transition populates
from the state reached in step 6.
c) Discuss in detail the electric-dipole transition rules from the
At low magnetic fields, the good quantum number is
while the
- From
: allowed to ( ), ( ), or ( ). - Transitions to
are forbidden ( ). - From
: allowed to ( ), ( ), or ( ). - Transitions to
are forbidden ( ).
At high magnetic fields, the good quantum number is
while the
are allowed. In detail, magnetic dipole transitions from the
- From
to , , , and with the same nucleus spin part. - From
to , , , and with the same nucleus spin part.
d) Can
Yes, they can. The selection rules for magnetic dipole transitions allow states with

